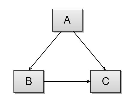
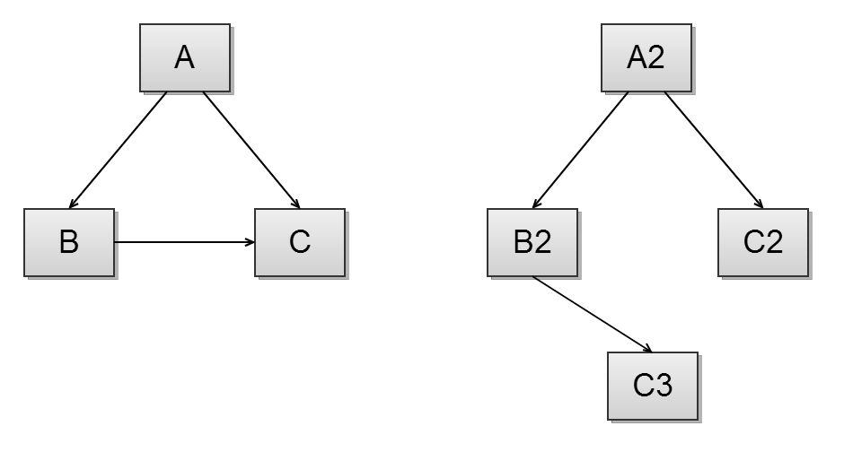
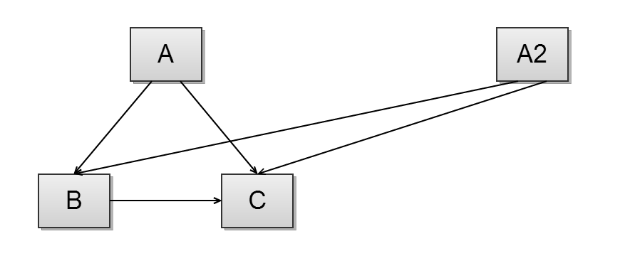
Name Last modified Size Description Parent Directory - clone.png 2025-10-08 14:39 12K deep-clone.png 2025-10-08 14:39 14K deep-copy.png 2025-10-08 14:39 11K graph.png 2025-10-08 14:39 6.3K